Tutorial de técnicas de digitalización de audio

La cuantificación


Análisis

El análisis matemático del proceso de cuantificación se realiza con el objetivo de relacionar el número de bits y la SNR resultante.

Para ello, hay que establecer un escenario o modelo en el que trabajar, es decir, es necesario determinar los parámetros estadísticos de los dos elementos involucrados: señal y ruido.

La hipótesis de partida es, por tanto:

El ruido generado se caracteriza con el error de cuantificación comentado antes. Se modela con una fdp uniforme entre los valores máximo y mínimo del escalón de cuantificación.

La señal puede tomar valores de forma aleatoria sin mayor o menor probabilidad para ninguno en especial, ya que se quiere considerar el caso general, una señal cualquiera de música, voz, etc. Se escoge una señal modelo: una onda sinusoidal, que oscila entre los valores máximo y mínimo del fondo de escala.

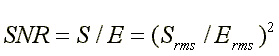
La SNR es el cociente entre la potencia de señal y de ruido (o error, E)

SNR=S/E=(Srms/Erms)^2

Los valores rms se refieren a la energía de cada elemento

Los valores máximo y mínimo que puede tomar la señal sinusoidal considerada, en función del escalón de cuantificación, son:

Q*(2^n) y -Q*(2^n)

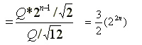
Por tanto, el valor Srms:

Q*2^(n-1)/sqrt(2)

(El valor eficaz o rms de una señal sinusoidal se calcula como la amplitud máxima dividida por un factor raíz de 2)

El valor Erms se calcula como la raíz de la varianza del ruido:

sqrt(Integral de (e^2*p(e)de))

Desarrollando la integral:

Los límites de integración son Q/2 y -Q/2, ya que el error solo puede tomar valores dentro del escalón de cuantificación. El valor de p(e), fdp del ruido, se sustituye por 1/Q, al ser de tipo uniforme ((a+b)/2) y sale fuera de la integral:

sqrt(1/Q*(integral de e^2*de),límites Q/2 y -Q/2
sqrt(Q^2/12) Q/sqrt(12)

La relación S/E es igual a:

SNR=S/E=(Srms/Erms)^2 = 3/2*2^(2n)
(Q*2^(n-1)/sqrt(2))/(Q/sqrt(12))

Expresando la SNR en decibelios, se obtiene:

SNR(dB)=10log(SNR)=6.02n+1.76

De este resultado se llega a la conclusión de que cada bit mas en la cuantificación incrementa en 6 dB la relación SNR.

El estándar CD, por ejemplo, utiliza 16 de bits de cuantificación, lo que proporciona una SNR de 98 dB.

El siguiente gráfico ilustra esta expresión:

Gráfico que ilustra el resultado final

Cuantificación de señales de bajo nivel: distorsión

El estudio analítico realizado se basa en la hipótesis de que la señal a cuantificar es una onda sinuosoidal, cuya amplitud oscila entre los valores máximo y mínimo del fondo de escala; es una buena aproximación para señales de carácter general.

En señales de bajo nivel, sin embargo, el efecto es diferente. El error no se puede modelar como ruido aditivo uniforme, si no como una distorsión, ya que en este caso, no se da la hipótesis de independencia entre señal y ruido, si no que existe correlación entre ambos. Al suceder esto, se produce distorsión, es decir, la aparición de componentes armónicos espúreos.

El caso extremo es una señal que oscile dentro del escalón de cuantificación mas bajo. Esa señal estaría siendo codificada con un solo bit, lo que produce un pulso cuadrado, que en el espectro, tiene una gran cantidad de armónicos.

El método para paliar este efecto negativo es la inclusión de dither, ruido blanco que elimina los armónicos que aparecen provocando distorsión, técnica que es descrita mas adelante.

Este efecto también puede darse en señales de amplitud grande si el número de bits empleado es muy pequeño. La situación, en la práctica, es la misma: la señal oscila entre muy pocos niveles y se produce distorsión, ya que señal y error resultan estar correlados.

Validacion W3C XHTML Strict Validacion W3C CSS