Tutorial de técnicas de digitalización de audio

Noise Shaping


Introducción

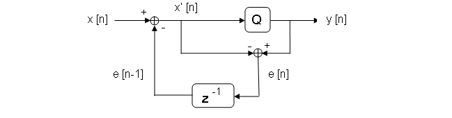
El Noise Shaping (modelado de ruido) es una técnica avanzada para reducir el ruido de cuantificación. La señal de audio muestreada se introduce en un sistema con una función de transferencia que traslada el ruido de cuantificación a frecuencias elevadas, de forma que la mayor parte posible quede fuera de la banda de audio del oído (hasta 20 kHz), y luego pueda ser eliminada mediante filtrado.

Noise Shaping de primer orden

Sistema de noise shaping de orden 1
Función de transferencia de noise shaping de orden 1

En combinación con el sobremuestreo y el dithering, pueden conseguirse hasta 3 bits extra de relación señal / ruido.

Validacion W3C XHTML Strict Validacion W3C CSS