Procesado temporal y líneas de retardo.

Introducción.

El procesado temporal nos permite modificar una señal de entrada mediante líneas de retardo. Estas se encargan de almacenar durante un tiempo establecido la señal para luego sumarla a la entrante. Con esta técnica podemos obtener numerosos efectos aplicados al mundo de la producción de audio.

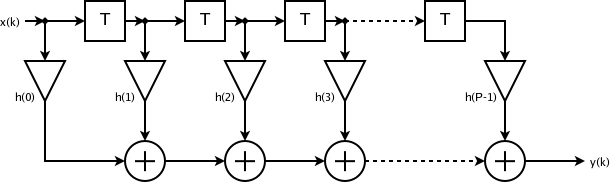
Estructura filtro FIR

Estructura filtro FIR

Antes de la irrupción del audio digital, la recreación de estos efectos analógicamente implicaba un coste alto en la producción, o tener que recurrir a unas técnicas bastante artesanales por parte de los técnicos. Para simular la reverberación de una sala había que grabar en grandes salas que generasen de forma natural las reflexiones, o servirse de lugares variopintos. Un caso conocido fue la utilización de una bañera por parte de la discográfica Motown para darle ese efecto a sus artistas.

Sala de reverberación variable

Camara de reverberación variable de los Estudios DISCOREY en Monterrey (Mexico, 1974)

Actualmente existe en el mercado digital gran variedad de equipos, desde la especialización en líneas de retardo o reverberadores, a unidades multiefecto que simulan reverberaciones tambien a parte de otros efectos como vibratos, chorus y otras técnicas de delays. A continuación estudiaremos la reverberación y otros efectos sonoros.

Unidad de efectos digitales

Unidad de efectos digitales