Expresiones analíticas de las modulaciones en el dominio del tiempo
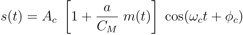
A continuación se muestran las expresiones en el dominio temporal de distintas modulaciones analógicas. Identifique cada una de ellas.
![]()

![]()
![]()

![]()

A continuación se muestran las expresiones en el dominio temporal de distintas modulaciones analógicas. Identifique cada una de ellas.
![]()

![]()
![]()

![]()

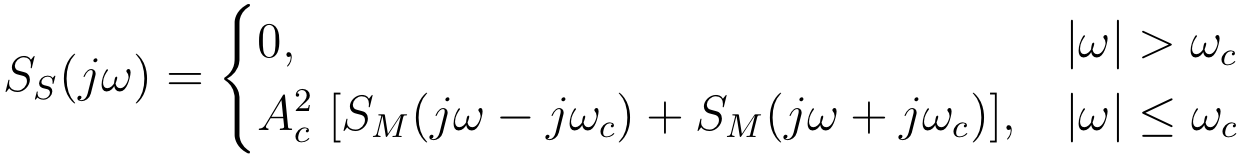
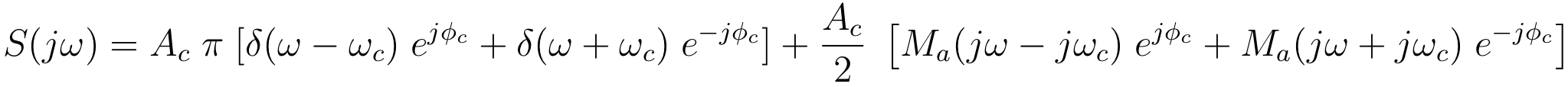
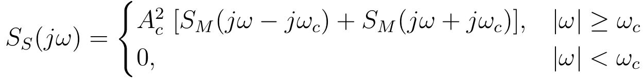
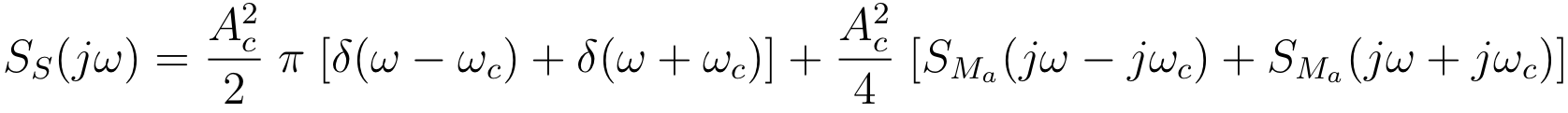
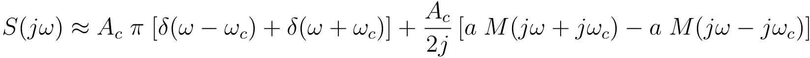
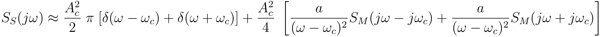
A continuación se muestran las expresiones en el dominio de la frecuencia (transformada de Fourier o densidad espectral de potencia) de distintas modulaciones analógicas. Identifique cada una de ellas.









Obra publicada con Licencia Creative Commons Reconocimiento No comercial Compartir igual 4.0