Expresiones analíticas de las modulaciones en el dominio del tiempo
A continuación se muestran las expresiones en el dominio temporal de distintas modulaciones analógicas. Identifique cada una de ellas.
Se trata de una modulación de amplitud de doble banda lateral (sin portadora), ya que la expresión analítica es el producto de la portadora y de la señal moduladora.
Se trata de una modulación de amplitud, en concreto de una modulación AM convencional o de doble banda lateral con portadora. Se puede ver que la señal modulada tiene dos componentes que se suman: la portadora, y el producto de la portadora con la señal moduladora (doble banda lateral).
Se trata de una modulación angular, ya que la información modifica el argumento de la portadora y no su amplitud; en concreto la expresión es la de la señal modulada para una modulación de fase o PM. La fase de la portadora es proporcional a la señal moduladora.
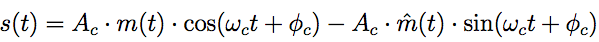
Se trata de una modulación de amplitud, en este caso de banda lateral única y en concreto de banda lateral superior (ya que el término correspondiente a la transformada de Hilbert de la moduladora tiene signo negativo).
Se trata de una modulación angular, ya que la información modifica el argumento de la portadora y no su amplitud; en concreto la expresión es la de la señal modulada para una modulación de frecuencia o FM. La fase de la portadora es proporcional a la integral de la señal moduladora, lo que significa que la desviación de la frecuencia instantánea respecto de la frecuencia de portadora el es proporcional a la señal moduladora.
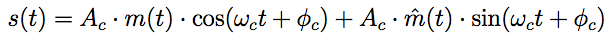
Se trata de una modulación de amplitud, en este caso de banda lateral única y en concreto de banda lateral inferior (ya que el término correspondiente a la transformada de Hilbert de la moduladora tiene en este caso signo positivo).
Expresiones analíticas en el dominio de la frecuencia
A continuación se muestran las expresiones en el dominio de la frecuencia (transformada de Fourier o densidad espectral de potencia) de distintas modulaciones analógicas. Identifique cada una de ellas.
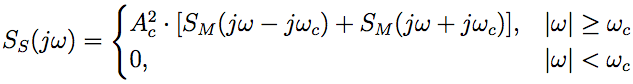
Se trata de la expresión de la densidad espectral de potencia de una modulación de amplitud de banda lateral única, en este caso de banda lateral inferior. Se puede ver que se replica la forma del espectro de la señal moduladora en torno de la frecuencia de la portadora, pero se ha eliminado la parte de frecuencias por encima de dicha frecuencia de portadora, con lo que queda la banda lateral inferior.
Esta es la expresión de la densidad espectral de potencia de una modulación de amplitud de doble banda lateral. Se replica el espectro de la señal moduladora en torno a la frecuencia de la portadora.
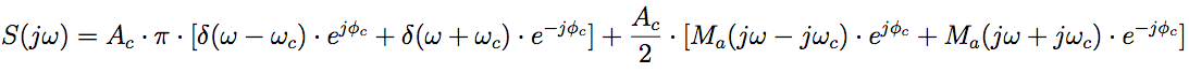
Se trata de la Transformada de Fourier de una modulación de amplitud AM convencional (o doble banda lateral con portadora). Se puede ver que aparecen dos términos en la respuesta: las dos deltas correspondientes a la respuesta de la portadora en el dominio frecuencial, más las réplicas del espectro de la señal moduladora (normalizada y con índice de modulación a) en torno a la frecuencia portadora que son la respuesta de una doble banda lateral.
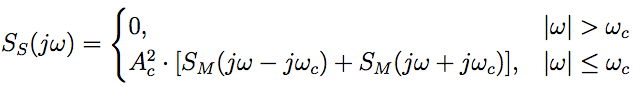
Esta es la expresión de la densidad espectral de potencia de una modulación de amplitud de banda lateral única, en este caso de banda lateral superior. Se puede ver que se replica la forma del espectro de la señal moduladora en torno de la frecuencia de la portadora, pero se ha eliminado la parte de frecuencias por debajo de dicha frecuencia de portadora, con lo que queda únicamente la banda lateral superior.
Esta suma de deltas en las frecuencias resultantes de sumar la frecuencia de la portadora y n veces una frecuencia omega sub m, donde la amplitud de cada delta está dada por la función de Bessel de orden n y argumento 3, es la forma típica de la transformada de Fourier de una modulación angular (de fase o frecuencia), cuando la señal moduladora es una portadora sinusoidal con índice de modulación 3 (el argumento de las funciones de Bessel que determinan la amplitud de cada delta del espectro).
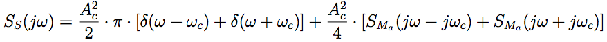
En este caso la expresión es la densidad espectral de potencia de una modulación de amplitud AM convencional (o doble banda lateral con portadora). Se puede ver que aparecen dos términos en la respuesta: las dos deltas correspondientes a la respuesta de la portadora en el dominio frecuencial, más las réplicas del espectro de la señal moduladora (normalizada y con índice de modulación a) en torno a la frecuencia portadora que son la respuesta de una doble banda lateral.