Saltar la navegación

C1-Estacionariedad

Cuestiones sobre estacionariedad y cicloestacionariedad

Pregunta

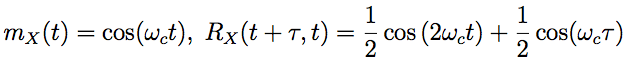
Un proceso aleatorio tiene las siguientes media y función de autocorrelación

Seleccione de entre las siguientes posibilidades la respuesta correcta.

Respuestas

El proceso aleatorio es estacionario. 

El proceso aleatorio es cicloestacionario.

El proceso aleatorio no es ni estacionario ni cicloestacionario. 

Retroalimentación

Pregunta

 

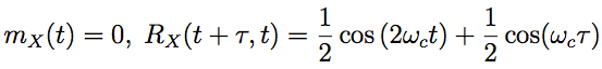
Un proceso aleatorio tiene las siguientes media y función de autocorrelación

Seleccione de entre las siguientes posibilidades la respuesta correcta.

Respuestas

El proceso aleatorio es estacionario. 

El proceso aleatorio es cicloestacionario. 

El proceso aleatorio no es ni estacionario ni cicloestacionario.

Retroalimentación

Pregunta

 

Un proceso aleatorio tiene las siguientes media y función de autocorrelación

Seleccione de entre las siguientes posibilidades la respuesta correcta.

Respuestas

El proceso aleatorio es estacionario.

El proceso aleatorio es cicloestacionario.

El proceso aleatorio no es ni estacionario ni cicloestacionario.

Retroalimentación

Pregunta

 

Un proceso aleatorio tiene las siguientes media y función de autocorrelación

Seleccione de entre las siguientes posibilidades la respuesta correcta.

Respuestas

El proceso aleatorio es estacionario.

El proceso aleatorio es cicloestacionario.

El proceso aleatorio no es ni estacionario ni cicloestacionario.

Retroalimentación

Pregunta

 

Un proceso aleatorio tiene las siguientes media y función de autocorrelación

Seleccione de entre las siguientes posibilidades la respuesta correcta.

Respuestas

El proceso aleatorio es estacionario.

El proceso aleatorio es cicloestacionario.

El proceso aleatorio no es ni estacionario ni cicloestacionario.

Retroalimentación