C3-Decisor
El decisor de un sistema digital de comunicaciones, como indica su nombre, tiene como función tomar la decisión, a la vista de las observaciones recibidas, sobre qué símbolo de los M posibles se transmitió en cada intervalo de símbolo. Por lo tanto su correcto diseño es fundamental, ya que será determinante para la probabilidad de error del sistema.
Indique cuál es el criterio general para el diseño de un decisor en un sistema digital de comunicaciones, y cómo se relaciona este criterio con la distribución de las observaciones a la salida del demodulador.
El caso más habitual en un sistema digital de comunicaciones es el caso en que todos los símbolos se transmiten con la misma probabilidad (símbolos equiprobables). En ese caso, el criterio general para el diseño del decisor se simplifica y recibe habitualmente un nombre específico. Indique cuál es el nombre del criterio de diseño en ese caso particular, y en que se traduce en relación con la distribución de la observación a la salida del demodulador.
Cuando los símbolos tienen todos la misma probabilidad de ser transmitidos, y además se asume una transmisión sobre un canal gausiano (la única distorsión que sufre la señal transmitida durante su transmisión es la suma de ruido gausiano), el criterio de diseño del decisor se simplifica notablemente. Indique cuál es en ese caso el criterio más sencillo para realizar el diseño del decisor.
El diseño del decisor determina las prestaciones obtenidas por el sistema. A continuación se plantean algunas preguntas relativas al cálculo de estas prestaciones, en forma de probabilidades de error de símbolo y de bit.
Explique cómo se obtiene en un sistema digital de comunicaciones la probabilidad de error de símbolo (cálculo del valor exacto de dicha probabilidad)
En la mayor parte de los sistemas de comunicaciones los símbolos se transmiten todos con la misma probabilidad. Para las siguientes cuestiones se asume que todos los símbolos se transmiten con la misma probabilidad. También se va a asumir que la transmisión se ha realizado sobre un canal gausiano (la única distorsión sobre la señal transmitida ha sido la suma de ruido térmico, blanco, gausiano, con densidad espectral de potencia N0/2).
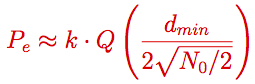
En algunos casos no es posible o puede ser complicado realizar un cálculo analítico exacto de la probabilidad de error de símbolo. En esos casos se recurre a aproximaciones o cotas de la probabilidad de error de símbolo.
Indique cuál es la aproximación más habitual utilizada para la probabilidad de error de símbolo
En ocasiones, cuando es importante garantizar que la probabilidad de error está por debajo de un cierto límite, en lugar de aproximaciones se recurre a cotas de la probabilidad de error de símbolo. Las dos cotas más utilizadas son la cota de la unión y la cota holgada. Explique cómo se obtienen estas dos cotas de la probabilidad de error de símbolo, y diga cual de las dos es una cota más ajustada.
Indique cómo se calcula en un caso general la probabilidad de error a nivel de bit o BER (del inglés, Bit Error Ratio).
En el caso en que se ha utilizado una codificación de Gray para realizar la asignación binaria, hay una aproximación muy sencilla para la probabilidad de error de bit a partir de la probabilidad de error de símbolo que es válida para relaciones señal a ruido relativamente altas. Indique cuál es la aproximación e indique en qué se basa.












