C3-Demodulador
El demodulador es uno (el primero) de los dos elementos funcionales básicos que aparecen en el modelo de comunicación habitual para sistemas de comunicaciones digitales. A continuación se realizan algunas preguntas sobre el papel de este elemento del receptor.
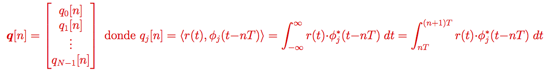
Describa la principal función del demodulador en un sistema de comunicaciones digitales, indicando cuál es su entrada, cuál es su salida y qué se representa en la misma. En este caso, defina de forma precisa, con las correspondientes expresiones analíticas, la salida del demodulador.
Existen dos estructuras diferentes que suelen emplearse para la implementación de un demodulador. Indiqué cuáles son estas dos estructuras, y explique en qué consiste cada una de ellas.
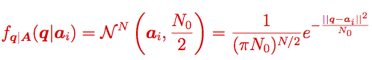
En el caso de una transmisión sobre un canal gausiano (el único efecto de distorsión durante la transmisión es la adición de ruido blanco y gausiano con densidad espectral de potencia N0/2), indique la distribución condicional de la observación a la salida del demodulador cuando se ha transmitido un cierto símbolo de la constelación (N-dimensional) del sistema.



