C2-Estacionariedad
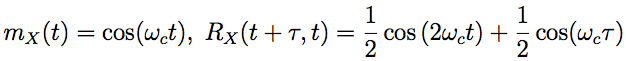
Un proceso aleatorio tiene las siguientes media y función de autocorrelación
![]()
Seleccione de entre las siguientes posibilidades la respuesta correcta.
El proceso aleatorio es estacionario.
El proceso aleatorio es cicloestacionario.
El proceso aleatorio no es ni estacionario ni cicloestacionario.
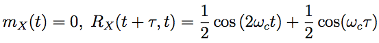
Un proceso aleatorio tiene las siguientes media y función de autocorrelación

Seleccione de entre las siguientes posibilidades la respuesta correcta.
El proceso aleatorio es estacionario.
El proceso aleatorio es cicloestacionario.
El proceso aleatorio no es ni estacionario ni cicloestacionario.
Un proceso aleatorio tiene las siguientes media y función de autocorrelación

Seleccione de entre las siguientes posibilidades la respuesta correcta.
El proceso aleatorio es estacionario.
El proceso aleatorio es cicloestacionario.
El proceso aleatorio no es ni estacionario ni cicloestacionario.
Un proceso aleatorio tiene las siguientes media y función de autocorrelación
Seleccione de entre las siguientes posibilidades la respuesta correcta.
El proceso aleatorio es estacionario.
El proceso aleatorio es cicloestacionario.
El proceso aleatorio no es ni estacionario ni cicloestacionario.
Un proceso aleatorio tiene las siguientes media y función de autocorrelación
Seleccione de entre las siguientes posibilidades la respuesta correcta.
El proceso aleatorio es estacionario.
El proceso aleatorio es cicloestacionario.
El proceso aleatorio no es ni estacionario ni cicloestacionario.